សារធាតុពណ៌ លឿង ៩៧
Pigment Yellow 97 is a bright, durable yellow pigment commonly used in coatings, inks, plastics, and paints. Known for its excellent lightfastness, weather resistance, and non-toxic properties, it offers vibrant color with high opacity. This pigment provides superior color strength and is often chosen for applications requiring consistent, high-quality yellow hues. It’s widely used in industrial sectors such as automotive, textiles, and packaging, offering a reliable and long-lasting color solution. Pigment Yellow 97 is valued for its versatility, environmental safety, and ability to maintain color integrity even under harsh conditions.
| សទិសន័យ | CIPigment លឿង 97; CIPY97; PY97; PY97 |
| លេខ CI | 11767 |
| លេខ CAS | 12225-18-2 |
| លេខសហភាពអឺរ៉ុប | 235-427-3 |
| រូបមន្តម៉ូលេគុល | C26H27CINN4O8S |
| គ្រួសារគីមី | ម៉ូណូអាហ្សូ |
| ពណ៌ | ![]() |
| ការបែងចែកពណ៌លាំ ៗ |
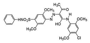
រចនាសម្ព័ន្ធម៉ូលេគុល៖

សារធាតុពណ៌ពណ៌លឿង 97 លក្ខណៈសម្បត្តិរូបវិទ្យា គីមី និងរហ័ស
| ទម្ងន់ម៉ូលេគុល | 591.08 |
| តម្លៃ PH | 7.5 |
| ដង់ស៊ីតេ | 1.5 |
| ការស្រូបយកប្រេង (ml / 100g)% | 45 |
| ពន្លឺលឿន | 7 |
| ធន់នឹងកំដៅ | 200 (°C) |
| ភាពធន់នឹងទឹក | 5 |
| ភាពធន់នឹងប្រេង | 4 |
| ភាពធន់នឹងអាស៊ីដ | 5 |
| ភាពធន់នឹងអាល់កាលី | 5 |
ពាក្យសុំ
Pigment Yellow 97 ស្វែងរកកម្មវិធីនៅក្នុងឧស្សាហកម្មផ្សេងៗ ដោយសារពណ៌លឿងដ៏រស់រវើករបស់វា។ កម្មវិធីទូទៅមួយចំនួនរួមមាន:
ថ្នាំលាប និងថ្នាំកូត៖ សារធាតុពណ៌លឿង 97 ត្រូវបានប្រើក្នុងទម្រង់ថ្នាំលាប និងថ្នាំកូតសម្រាប់គោលបំណងតុបតែង និងការពារ។ វាអាចត្រូវបានដាក់បញ្ចូលទៅក្នុងថ្នាំលាបទឹក ឬសារធាតុរំលាយ ដើម្បីផ្តល់ពណ៌លាំលឿង។
ទឹកថ្នាំបោះពុម្ព៖ សារធាតុពណ៌ត្រូវបានប្រើប្រាស់ក្នុងការផលិតទឹកថ្នាំបោះពុម្ពពណ៌លឿងសម្រាប់កម្មវិធីដូចជា ការវេចខ្ចប់ ការបោះពុម្ព និងសម្ភារៈបោះពុម្ពផ្សេងទៀត។
ផ្លាស្ទិច៖ សារធាតុពណ៌ លឿង ៩៧ ជារឿយៗត្រូវបានប្រើប្រាស់ក្នុងការលាបពណ៌ផ្លាស្ទិច រួមទាំង PVC (ប៉ូលីវីនីលក្លរ) ប៉ូលីអូលហ្វីន និងវត្ថុធាតុ polymer ផ្សេងទៀត។ វាផ្តល់ពណ៌លឿងជាប់លាប់ និងមានស្ថេរភាពដល់ផលិតផលប្លាស្ទិក។
វាយនភណ្ឌ៖ នៅក្នុងឧស្សាហកម្មវាយនភណ្ឌ សារធាតុពណ៌នេះអាចត្រូវបានប្រើប្រាស់សម្រាប់ការជ្រលក់ក្រណាត់ ដោយផ្តល់ពណ៌លឿងដល់វាយនភ័ណ្ឌ និងសម្លៀកបំពាក់។
Inkjet Inks: Pigment Yellow 97 អាចត្រូវបានប្រើក្នុងការបង្កើតទឹកថ្នាំ inkjet សម្រាប់បោះពុម្ពរូបភាព និងអត្ថបទលើស្រទាប់ខាងក្រោមផ្សេងៗ។
ពណ៌សិល្បករ៖ សិល្បករ និងអ្នកផលិតសម្ភារៈសិល្បៈអាចប្រើសារធាតុពណ៌ លឿង 97 ក្នុងការផលិតថ្នាំលាបប្រេង អាគ្រីលីក ពណ៌ទឹក និងសម្ភារៈសិល្បៈផ្សេងទៀត។
កម្មវិធីផ្សេងទៀត៖ សារធាតុពណ៌ក៏អាចត្រូវបានគេប្រើប្រាស់នៅក្នុងកម្មវិធីផ្សេងៗជាច្រើន ដែលចង់បានពណ៌លឿងដែលមានស្ថេរភាព និងរស់រវើក ដូចជាការលាបពណ៌គ្រឿងសំអាង ផលិតផលកៅស៊ូ និងថ្នាំកូតពិសេស។
ព័ត៌មានពាក់ព័ន្ធ
Pigment Yellow 97 is a hydroxyl-containing polycarboxylic acid that is used in the production of paints and plastics. It has an oxidation potential of +0.6 volts, which indicates that it is reactive. Pigment Yellow 97 has an absorption maximum at 526 nm and a molecular weight of 317.09 g/mol. The chemical structure of Pigment Yellow 97 consists of a molecule with a reactive carboxyl group and a reactive hydroxyl group, as well as an intramolecular hydrogen bond between the two groups. This pigment also forms coordination complexes with metals such as iron oxides to form particle pigments or mixtures with glycol esters to form solid particles or dispersions, respectively.
ឈ្មោះ និងអត្តសញ្ញាណ
ឈ្មោះ IUPAC៖ N-(4-chloro-2,5-dimethoxyphenyl)-2-[[2,5-dimethoxy-4-(phenylsulfamoyl)phenyl]diazenyl]-3-oxobutanamide
InChI=1S/C26H27ClN4O8S/c1-15(32)25(26(33)28-18-12-20(36-2)17(27)11-21(18)37-3)30-29-19- 13-23(39-5)24(14-22(19)38-4)40(34,35)31-16-9-7-6-8-10-16/h6-14,25,31H, 1-5H3,(H,28,33)
InChIKey៖ WNWZKKBGFYKSGA-UHFFFAOYSA-N
ស្នាមញញឹម Canonical៖ CC(=O)C(C(=O)NC1=CC(=C(C=C1OC)Cl)OC)N=NC2=CC(=C(C=C2OC)S(=O)(= O)NC3=CC=CC=C3)OC
ទ្រព្យសម្បត្តិដែលបានគណនា
| ឈ្មោះរបស់ទ្រព្យសម្បត្ដិ | តម្លៃអចលនទ្រព្យ |
| ទម្ងន់ម៉ូលេគុល | 591.0 g/mol |
| XLogP3-AA | 4.6 |
| ចំនួនអ្នកផ្តល់ប្រាក់បញ្ញើអ៊ីដ្រូសែន | 2 |
| ចំនួនអ្នកទទួលសញ្ញាប័ណ្ណអ៊ីដ្រូសែន | 11 |
| ចំនួនមូលបត្របំណុលដែលអាចបង្វិលបាន។ | 12 |
| ម៉ាស់ពិតប្រាកដ | 590.1238127 Da |
| អភិបូជា Monoisotopic | 590.1238127 Da |
| ផ្ទៃប៉ូលប៉ូឡូញ | 162 Ų |
| ចំនួនអាតូមធុនធ្ងន់ | 40 |
| បន្ទុកផ្លូវការ | 0 |
| ភាពស្មុគស្មាញ | 974 |
| ចំនួនអាតូមអ៊ីសូតូប | 0 |
| កំណត់ Atom Stereocenter រាប់ | 0 |
| ចំនួន Atom Stereocenter ដែលមិនបានកំណត់ | 1 |
| ចំនួន Bond Stereocenter កំណត់ | 0 |
| លេខកណ្តាលនៃសញ្ញាប័ណ្ណដែលមិនបានកំណត់ | 0 |
| ចំនួនឯកតាដែលជាប់បំណុលកូវ៉ាឡេន | 1 |
| សមាសធាតុត្រូវបាន Canonicalized | បាទ |











