សារធាតុពណ៌ក្រហម ១៧៦-Corimax ក្រហម HF3C
បញ្ជីប៉ារ៉ាម៉ែត្រផលិតផល
| សន្ទស្សន៍ពណ៌។ | សារធាតុក្រហម ១៧៦ |
| ឈ្មោះផលិតផល | Corimax ក្រហម HF3C |
| ប្រភេទផលិតផល | សារធាតុពណ៌សរីរាង្គ |
| លេខ CAS | 12225-06-8 |
| លេខសហភាពអឺរ៉ុប | 235-425-2 |
| គ្រួសារគីមី | Benzimidazolone |
| ទម្ងន់ម៉ូលេគុល | 572.57 |
| រូបមន្តម៉ូលេគុល | C32H24N6O5 |
| តម្លៃ PH | 7 |
| ដង់ស៊ីតេ | 1.6 |
| ការស្រូបយកប្រេង (ml / 100g)% | 40-60 |
| ពន្លឺលឿន (ថ្នាំកូត) | 6 |
| ធន់នឹងកំដៅ (ថ្នាំកូត) | 180 |
| ពន្លឺលឿន (ប្លាស្ទិច) | 6-7 |
| ធន់នឹងកំដៅ (ប្លាស្ទិច) | 250 |
| ភាពធន់នឹងទឹក | 5 |
| ភាពធន់នឹងប្រេង | 5 |
| ភាពធន់នឹងអាស៊ីដ | 5 |
| ភាពធន់នឹងអាល់កាលី | 4-5 |
ពណ៌ | ![]() |
| ការបែងចែកពណ៌លាំ ៗ |
លក្ខណៈពិសេស:
សារធាតុពណ៌ក្រហម ១៧៦ គឺជាសារធាតុពណ៌ដែលផ្តល់នូវម្លប់ភ្លឺថ្លាអស្ចារ្យជាមួយនឹងភាពរហ័សរហួតធន់កំដៅខ្ពស់តម្លាភាពនិងធន់នឹងការធ្វើចំណាកស្រុក។
TDS (សារធាតុពណ៌ក្រហម ១៧៦) MSDS(Pigment Red 176)ពាក្យសុំ:
ត្រូវបានណែនាំសម្រាប់ថ្នាំលាបឧស្សាហកម្មថ្នាំលាបម្សៅការបិទភ្ជាប់ព្រីនជ័រអេសភីអេសភីភីអេសភីអេសភីទឹកថ្នាំទឹកទឹកថ្នាំរំលាយកាំរស្មីយូវី។
ត្រូវបានណែនាំសម្រាប់ការលាបថ្នាំរថយន្តថ្នាំលាបស្ថាបត្យកម្មថ្នាំកូតឧបករណ៏អុហ្វសិត។
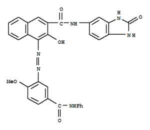
រចនាសម្ព័ន្ធម៉ូលេគុល៖

លក្ខណៈរូបវ័ន្តនិងគីមី៖ ខៀវនិងក្រហម។ ពន្លឺស្រាលគឺកម្រិត 6. ស្ថេរភាពកំដៅគឺលើសពី 300 ℃។ ភាពធន់ទ្រាំនឹងសារធាតុរំលាយសរីរាង្គឈានដល់ថ្នាក់ទី ៤ ដល់ទី ៥ ដោយគ្មានចំណាកស្រុក។
ការប្រើប្រាស់ផលិតផលៈត្រូវបានប្រើជាចម្បងសំរាប់ផ្លាស្ទិចពណ៌។
សារធាតុក្រហម ១៧៦ ification
ថ្នាំ 2-Naphthalenecarboxamide, N- (2,3-dihydro-2-oxo-1H-benzimidazol-5-yl) -3-hydroxy-4- [2- [2-methoxy-5 - [(phenylamino) carbonyl] phenyl ] diazenyl] - គឺជាសមាសធាតុសរីរាង្គដែលមានរូបមន្ត C32H24N6O5 ។ ឈ្មោះជាប្រព័ន្ធនៃសារធាតុគីមីនេះគឺ 3-hydroxy-4- [2-methoxy-5- (phenylcarbamoyl) phenyl] azo-N- (2-oxo-1,3-dihydrobenzimidazol-5-yl) naphthalene-2-carboxamide ។ ជាមួយនឹងលេខចុះបញ្ជី CAS ចំនួន ១២២២៥-០៦-៨ វាក៏ត្រូវបានគេដាក់ឈ្មោះ N- (2,3-dihydro-2-oxo-1H-benzimidazol-5-yl) -3-hydroxy-4 - [[2-methoxy- ៥ - [(ហ្វីលីលីមមីណូ) កាបោននីល] ផូលីលី] អាហ្សូ] naphthalene-២-carboxamide ។ ប្រភេទផលិតផលគឺអង្គការ។
លក្ខណៈសម្បត្តិរាងកាយប្រហែល 2-Naphthalenecarboxamide, N- (2,3-dihydro-2-oxo-1H-benzimidazol-5-yl) -3-hydroxy-4- [2- [2-methoxy-5 - [(phenylamino) carbonyl ] phenyl] diazenyl] - គឺ៖ (១) ACD / LogP: ៦.៩៦; (២) ចំនួននៃការរំលោភ ៥៖ ៤; (៣) ACD / LogD (pH ៥.៥)៖ ៦,៩៥; (៤) ACD / LogD (pH ៧.៤): ៦.៩៥; (៥) អ្នកទទួលប័ណ្ណ #H៖ ១១; (៦) ម្ចាស់ជំនួយសញ្ញាប័ត្រអេជៈ ៥; (៧) # មូលបត្របំណុលបង្វិល៖ ៨; (៨) ផ្ទៃក្រឡាប៉ូល៖ ១៥៣.៥១ Å២; (៩) សន្ទស្សន៍នៃការឆ្លុះបញ្ចាំង៖ ១.៧២១; (១០) ចំណាំងផ្លាតម៉ូលីលៈ ១៥៧.៦៧ ស។ ម .៣; (១១) បរិមាណម៉ូលីរៈ ៣៩៨,៦ ស។ ម .៣; (១២) ភាពស្វាហាប់៖ ៦២.៥ × ១០-២៤ ស។ ម .៣; (១៣) ភាពតានតឹងផ្ទៃ៖ ៦១ ឌីណា / ស។ ម។ (១៤) ដង់ស៊ីតេ៖ ១,៤៣ ក្រាម / cm3; (១៥) ចំណុចពន្លឺ៖ ៣៥៧.៣ អង្សាសេ; (១៦) Enthalpy នៃចំហាយទឹក៖ ១០១.៦៣ kJ / mol; (១៧) ចំណុចពុះ: ៦៦៧.២ អង្សាសេនៅ ៧៦០ មីល្លីម៉ែត្រហឺត; (18) សម្ពាធចំហាយ: 2.05E-18 mmHg នៅសីតុណ្ហភាព 25 អង្សាសេ។










